紐元正在按之前的預期終結楔形運行,紐元相比澳元要弱一點,弱有弱的好處,如果澳元沒有給好的進倉機會就做紐元,有利的可以運用,不利的也可以運用,關鍵在于你自己愛不愛琢磨!
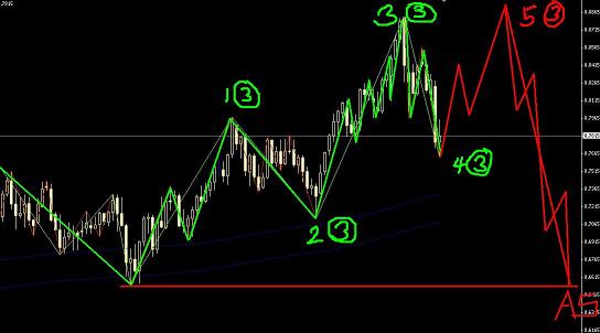
波浪理論實盤推演紐元一直在走3-3-3-3結構,那后面還剩下的行情就很容易判斷,趨勢是多頭,那就繼續做即可,趨勢和節奏都很清楚,剩下的就是考驗你是否能在交易的路上去掉懷疑心理拿得住,并在合適的位置上大膽加倉!
這里不妨提醒一下,如果紐元繼續按終結楔形運行,那后面的澳元多以鋸齒形殺跌的形式展開空頭,紐元也會出現非常快的空頭行情,比多頭再好不過的行情就在后面的殺跌之中,如果你沒有多次的此類行情操作,千萬不要以為這機會屬于你,機會只屬于有駕馭能力的人,所以把每次機會當練場而非暴富的機會才是當務之急!
后面的多頭如何操作,此時的位置是很低的,點為好與風險高是鴛鴦一對,此時讓一讓,等市場上漲之后的回調中進場,此時最為重要的時刻關注澳元和紐元的強和弱,我們操作一定是謹記順強或順弱的!

紐元正在終結楔形中
(風險提示:本文的預測分析僅供參考,并不作為你投資決策的依據,若據此操作而產生的盈虧,本人不承擔任何責任|?熱愛波浪理論的朋友想系統掌握交易要領可以通過easy forex開戶即可獲得培訓教程)?

