黃金在這高位盤整很明顯是在為下一個多頭推動行情蓄勢,從低位1531.5的起點到現在,黃金一直是很標準的5-3-5上漲結構,就是說最近的黃金推動浪的5波很清晰,其中一部分原因來自投資避險,最近日元政府也開始回拉日幣,瑞郎也采取了強制行動,所以日幣和瑞郎在趨勢與政府調控直接有著很多的矛盾和不確定性,重要的避險貨幣一時失去了歸宿,而我們的黃金一直處于穩定而強勢的上漲趨勢,基本面和技術面都很好的需要看漲!
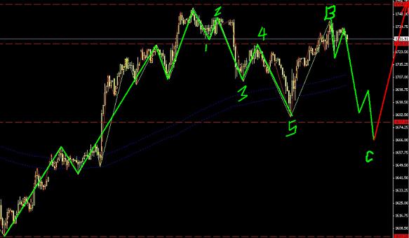
波浪理論實盤推演黃金在低位一直都在不斷的呈現創新高不創新低的態勢,眼前的調整浪中出現了一個空頭朝五,容易給我拉一個回調下跌行情,這種中線機會在1677.5的低位時,也就是C浪破掉A浪底時不要放過,進場持有至少1200點的多頭行情。

黃金調整之后繼續上漲圖解
(風險提示:本文的預測分析僅供參考,并不作為你投資決策的依據,若據此操作而產生的盈虧,本人不承擔任何責任)

