熱門標簽:
美元指數目前正在走波浪理論視頻中的大型B浪a,不懂的可以回過頭去看,在這里重申一遍=美元目前一定只是高位的調整浪,然后繼續創出美元的歷史新高100.39,這一點大家不用擔心!
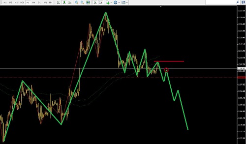
黃金在天圖級別運行了一個3-3-3平臺型調整,眼下的操作有人繼續看多,認為市場要走完C4,C5創掉1232的新高,但是市場在這里客觀的呈現不愿意漲,反而在低位走出擴散的形態,具體操作非常簡單,市場在這里繼續破掉低點1201之后的回調中進場,止損設在1214前高,目標位在評論處跟蹤。
(聲明:尊重版權,禁止轉載,以上僅持有個人觀點,本文內容僅供投資者參考,據此操作本人不承擔任何責任)
標簽:平臺型調整, 波浪理論 | Filed under: 波浪理論圖解 by 斯彬
<< 返回首頁 發表評論
老師為什么黃金天圖不認為是前面三波是A浪,然后B浪回到50%左右,C浪反身向上過前高呢??
關于黃金和歐美還有新西蘭,日元的具體操作看最新報道: http://www.syabt.com/5171
老師,歐元聽你的從高位做空到現在賺了很多,可以出掉了嗎?你出了嗎
還可以拿100點
謝謝,老師
老師為什么這么確定美指在走B浪a,而不是ABC浪已經走完?我自己分析認為美指的調整已經結束,ABC浪均非常完整。
應該時間還不到吧。加息最快9月 行情沒這么快上去吧?
老師,黃金調這么多,破掉1201估計直接就下去了吧。 等回調進估計要漏單了吧?
有突破單的堅決持有,沒有的堅決等回調
名稱(必需)
電子郵件 (不會被公開, 必需)
網站
有人回復時郵件通知我
1) 易信注冊地址:易信 2)易信MT4下載:點擊下載MT4 3)客服非常道QQ724340120+下面是微信二維碼
1浪的規則和指引-波浪理論新解1浪-波浪理論口訣1 2浪的規則和指引-波浪理論新解2浪-波浪理論口訣2 3浪的規則和指引-波浪理論新解3浪-波浪理論口訣3 4浪的規則和指引-波浪理論新解4浪-波浪理論口訣4 5浪的規則和指引-波浪理論新解5浪-波浪理論口訣5 A浪的規則和指引-波浪理論新解A浪-波浪理論口訣6 B浪的規則和指引-波浪理論新解B浪-波浪理論口訣7 C浪的規則和指引-波浪理論新解C浪-波浪理論口訣8
關注斯彬:
老師為什么黃金天圖不認為是前面三波是A浪,然后B浪回到50%左右,C浪反身向上過前高呢??
關于黃金和歐美還有新西蘭,日元的具體操作看最新報道:
http://www.syabt.com/5171
老師,歐元聽你的從高位做空到現在賺了很多,可以出掉了嗎?你出了嗎
還可以拿100點
謝謝,老師
老師為什么這么確定美指在走B浪a,而不是ABC浪已經走完?我自己分析認為美指的調整已經結束,ABC浪均非常完整。
應該時間還不到吧。加息最快9月 行情沒這么快上去吧?
老師,黃金調這么多,破掉1201估計直接就下去了吧。 等回調進估計要漏單了吧?
有突破單的堅決持有,沒有的堅決等回調