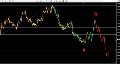
5月6號的波浪理論視頻中空歐美博B浪a的策略在5月27號進入尾聲,歐美空單的出場位1.0860即可!接下來可以用盈利的資金的1/3反手在1.0830做多,止損60點,目標1.1000即可,如波浪理論圖解中紅色部分為接下來可以吃的利潤!
歐元的方向為標準的空頭趨勢不變,但是市場目前在大型的平臺型調整中,找準時機設好止損博即可,市場如果再次按預期運行,堅決在圖解的高位中用盈利博后面的空頭C紅線區域!
新西蘭兌美元這個品種先不要動,繼續觀望,進場時會再次給出明確的進場策略!
黃金不必戀戰,空黃金的朋友在1185堅決出場,不必貪婪,黃金就是一個費勁的小空頭。
唯一不同的是美日5月15號交易策略:美日的多單119.16已經進場,止損118.50,中線單先持有,目標124.50,耐不住寂寞的可以123.40提前出掉,想做長線的堅決繼續持有!





好的,謝謝!
老師歐元是不是還繼續看多?是不是C浪了?
要想做好中線,克服害怕漏單心理反而耐心等待市場給出空頭頂部信號極為關鍵,直接影響到后面持單的執行力!
耐心點,非農過后看市場走勢
老師我能幫忙分析看下白銀未來的走勢嘛?
稍晚發視頻
好,謝謝
老師,歐元可以做空嗎?謝謝
蘇,現在堅決觀望,耐心等時機,要做單的時候會做一個視頻
老師,,那黃金怎么樣看。,謝謝
老師,黃金下破了,可以追空嗎?
黃金是一個費勁的空頭,費勁的空頭面前,如果你有主觀擔心市場一波流下去這是自己的不足,要自己去克服!
既然是費勁的空頭,放寬心不要害怕漏單,選擇好點位回調去進場
回復zhangyang日元的跟蹤操作:
日元這幾天走勢很激進,市場并沒有給出回調就上去,這種屬于漏單,現在的正確操作應該把美日的回調單撤掉為上(短線追單策略只有60%的成功率:123.20回調做多,止損122.78,目標125.00,4倍盈虧比)
如果當時市場給出回調就可以進,短線要根據行情的變化而改變具體的交易策略!
謝謝老師
感謝老師的耐心講解。現在歐元已經走到老師所說的大B浪的B附近,是否可以開始安排搏圖中顯示的紅色B-C?
空歐還需要一點點耐心,現在進去要被套
謝謝老師!
老師歐元跟美元指數要走5浪吧 現在是敗5引導?
美指處于大橫盤中,這個位置的5波沒有中線操盤價值,短線也沒有靠譜的止損位
波浪算不算是一種量化的模型?
我國這方面暫時落后,目前還沒有人去量化
老師,如果遇到假突破怎么辦。。。有沒有有效解決方法
逆勢突破進場事后統計處處是真突破-實盤起來處處是假突破,突破必須是順著真正的趨勢去突破,要做好突破必須即懂基本面,又要懂技術面,而且兩手都要硬!
為何人人都知道要順勢,而實戰起來人人做不到順勢?因為只有極少部分人能真正擁有長遠趨勢的眼光,背后需要長期的積累,否則駕馭不了市場的真假反轉,真假趨勢,真假反彈……
老師,怎么看國內ea自動交易?
肯定有極少部分能夠盈利,其中量化模型最為靠譜
我怎么把這波美指反彈看成了5浪了。 會不會回調后漲到98.5 在跌
歐美的反手短線多單在1.0950出場即可
如果做的美瑞空單9420出場即可
美日長線的趨勢看不到任何拐點,多頭趨勢至少延長6個月起步
短線追單策略只有60%的成功率:123.20回調做多,止損122.78,目標125.00,4倍盈虧比
老師,美日回調到哪里附近可以做多呢,現在不敢追單。可以給個建議嗎?美日大目標老師大概看到多少左右?謝謝了。
老師,今晚8點半美國數據,歐元多單繼續拿著嗎?
歐美的多單操作非常簡單,只需要設好平保就可以了,把止損位設在進場位上面一點點,做到零風險持倉
老師,中國遠洋繼續持有嗎?
肯定持有